펩타이드 합성 서비스
펩타이드수정

2015년부터 Shenzhen Biorunstar Biotechnology Co., Ltd.는 맞춤형 펩타이드 제공, 펩타이드 변형 및 펩타이드 관련 제품 개발에 주력해 왔습니다. 우리는 대학, 연구실, 생명공학/제약회사 등 다양한 기관의 전 세계 연구원들에게 서비스를 제공합니다. 우리의 목표는 연구, 생산 및 판매 지원을 위한 신뢰할 수 있는 선택이 되는 것입니다.
-
왜 바이오런스타인가?
9년의 업계 경험
-
플랫폼 및 기술
SPPS, LPPS; 수동 합성, 자동 합성
-
분석 보고서
HPLC 및 MS 보고서 제공, 기타 분석 서비스 선택 가능
-
서비스 프로세스
적시 응답, 간단한 주문 프로세스, 빠른 배송
펩타이드 합성 사례
펩타이드 합성이란?

펩타이드는 펩타이드 결합으로 연결된 짧은 아미노산 서열로 구성됩니다.
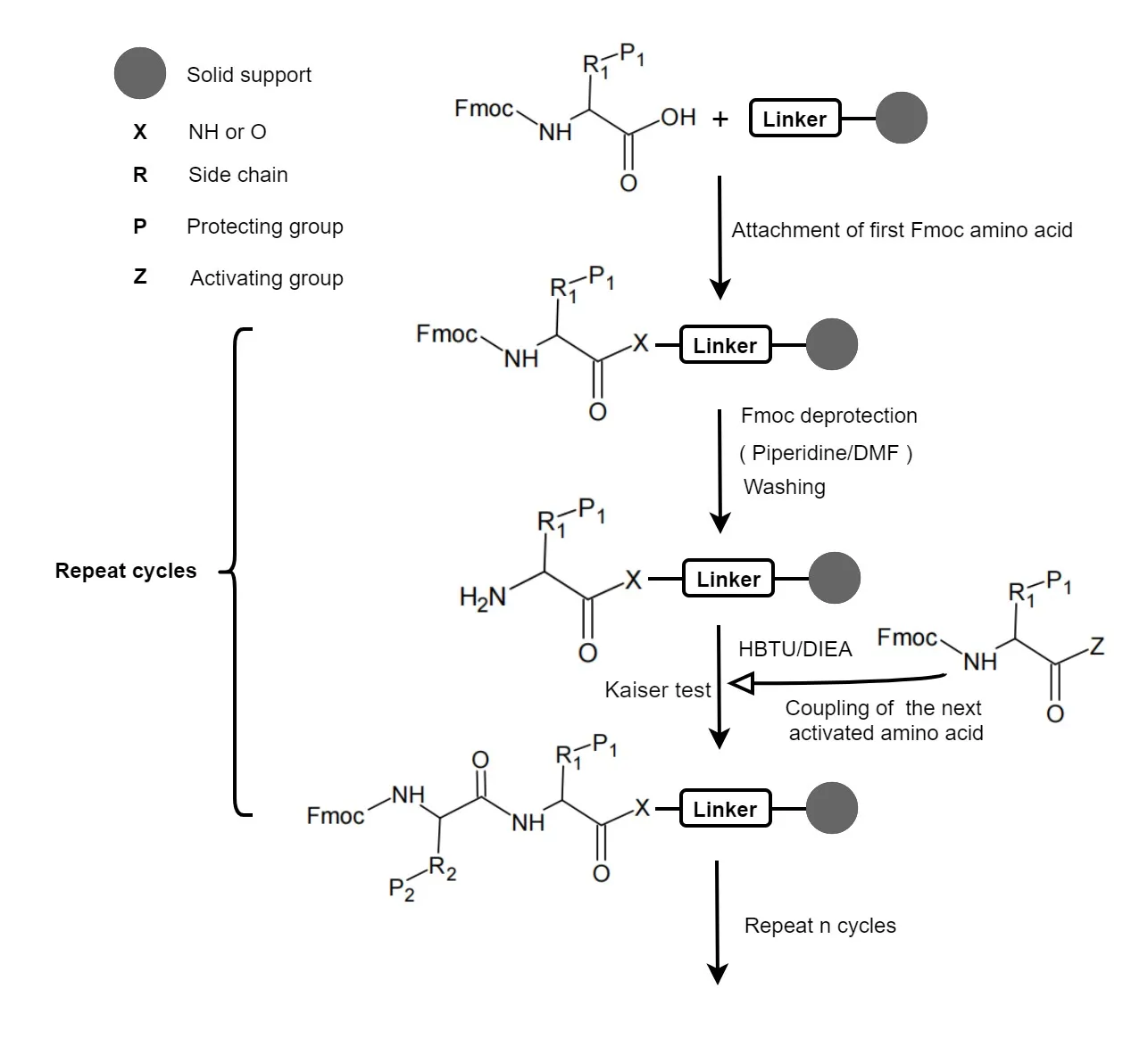
펩타이드 합성은 단백질 및 펩타이드 화학의 활성 분야로, 일반적으로 화학적 방법으로 펩타이드 사슬을 형성하기 위해 정의된 순서로 아미노산을 순차적으로 첨가하는 과정을 포함합니다. 주요 합성방법은 액상합성과 고상합성이 있다. LPPS에 비해 SPPS는 더 빠르고 간단하며 부반응이 적고 수율이 더 높다는 장점이 있습니다.
Boc(벤질) 및 Fmoc(tBu) 전략을 포함한 표준 SPPS 방법.
Boc(벤질) 전략
이 합성 접근법에서는 클로로메틸화, 하이드록시메틸화 폴리스티렌 및 p-메톡시벤질(PMA) 수지가 고체 지지체로 사용됩니다. -아미노 그룹은 t-부톡시카보닐(Boc)로 보호되는 반면, 아미노산의 측쇄 그룹은 벤질 유도체로 보호됩니다. CH2Cl2에서 순수 TFA 또는 TFA를 사용하여 Boc 그룹을 제거하고, 합성 마지막에는 무수불산(HF) 또는 TFMSA와 같은 강산을 사용하여 측쇄 보호기 및 펩타이드-수지 결합을 제거합니다.
Fmoc(tBu) 전략
이 합성 접근법에서는 Wang-resin, 2-Chlorotrityl Chloride Resin, Rink amide-AM Resin, Rink amide-MBHA 수지가 고체 지지체로 사용됩니다. -amino 그룹은 9-flurenylmethoxycarbonyl(Fmoc)로 보호됩니다. ), 아미노산의 측쇄 그룹은 산에 불안정한 보호 그룹으로 보호됩니다. DMF에 20% 피페리딘을 사용하여 Fmoc 그룹을 제거하고, 합성 마지막에 1%-95% TFA를 사용하여 측쇄 보호 그룹과 펩타이드-수지 결합을 제거합니다. Fmoc SPPS는 현재 펩타이드 합성에 선호되는 방법입니다.
최근뉴스
이황화 - 펩티드 및 ICK 구조의 결합 순환 원리 원리 소개 시스테인 사이의 이황화 결합 순환은 S -S 결합을 통한 두 Cys 잔기를 연결하여 폐쇄 루프를 형성합니다. 억제제 시스틴 매듭 (ICK) 펩티드는...
맞춤형 펩타이드 합성은 특정 연구 또는 치료 요구에 맞는 펩타이드를 생성하는 데 사용되는 고도로 전문화된 기술입니다. 아미노산의 짧은 사슬인 이 펩타이드는 다양한 생물학적 기능에서 중요한 역할을 하며 약물 개발...
2025년을 맞이하면서 지난 1년 동안 우리를 지원해 주신 모든 고객, 파트너 및 팀원들에게 진심으로 감사드립니다.{1}} Biorunstar는 성장과 혁신의 한 해였습니다. 여러분의 신뢰와 협력으로 우리는 놀...
Introduction 리포솜은 중요한 약물 전달 시스템으로서 약물 방출 효능에 영향을 미치는 주요 요소 중 하나로 안정성을 가지고 있습니다. 리포솜의 안정성을 향상시키기 위해 연구자들은 펩타이드 변형 전략을 ...


